Drodzy Autorzy i Klienci,
Właśnie wystartowaliśmy z nową odsłoną platformy ZlotyNauczyciel.pl, co było dla nas dużym wyzwaniem. Jeśli zauważycie, że jakaś funkcjonalność działa nieprawidłowo, śmiało zgłaszajcie to na adres admin@zlotynauczyciel.pl. Postaramy się odpowiedzieć na każde zgłoszenie i rozwiązać każdy problem najszybciej, jak to możliwe.
Dla szkół Wishlist icon Ulubione
cart Koszyk
0
Klasa / Wiek
Klasa / Wiek
Klasa 7, Klasa 8, Szkoła ponadpodstawowa
Format materiałów
Format materiałów
.pdf
Liczba stron
Liczba stron
5
Czy materiał zawiera odpowiedzi?
Czy materiał zawiera odpowiedzi?
Nie
Przeznaczenie materiału
Przeznaczenie materiału
dla nauczyciela, dla ucznia (praca samodzielne)
Średni czas aktywności
Średni czas aktywności
60 min
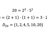
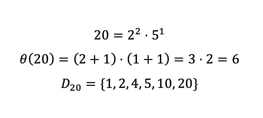
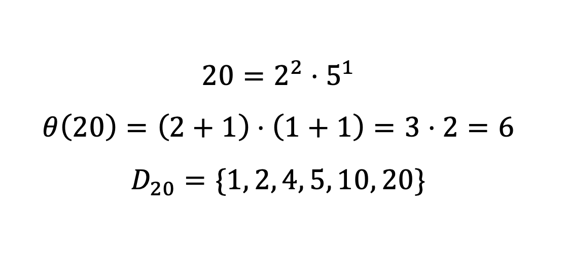
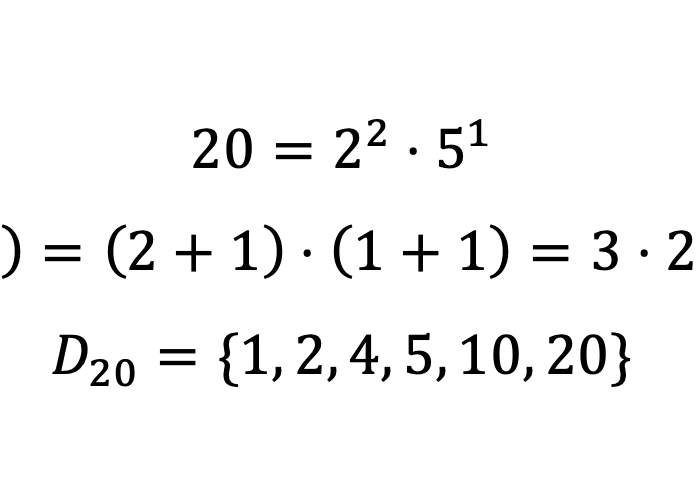
"Liczba dzielników" Liczba dzielników to praca, która przeprowadzi uczniów przez pojęcie dzielnika, postać potęgową liczby, rozkład na czynniki pierwsze, by doprowadzić uczniów do twierdzenia o liczbie dzielników. Materiał jest skonstruowany tak, by uczniowie mogli samodzielnie eksplorować temat i dochodzić do własnych wniosków. Zadanie jest odpowiednie dla uczniów, którzy znają już rozkład na czynniki pierwsze i definicję potęgowania (7. i 8. klasa SP, 1. klasa LO). Brak odpowiedzi.
Info

Brak recenzji

Dodaj swoją recenzję