Drodzy Autorzy i Klienci,
Właśnie wystartowaliśmy z nową odsłoną platformy ZlotyNauczyciel.pl, co było dla nas dużym wyzwaniem. Jeśli zauważycie, że jakaś funkcjonalność działa nieprawidłowo, śmiało zgłaszajcie to na adres admin@zlotynauczyciel.pl. Postaramy się odpowiedzieć na każde zgłoszenie i rozwiązać każdy problem najszybciej, jak to możliwe.
Dla szkół Wishlist icon Ulubione
cart Koszyk
0
Klasa / Wiek
Klasa / Wiek
Klasa 2, Klasa 3, Klasa 4, Szkoła ponadpodstawowa
Format materiałów
Format materiałów
.pdf
Liczba stron
Liczba stron
19
Czy materiał zawiera odpowiedzi?
Czy materiał zawiera odpowiedzi?
Tak
Przeznaczenie materiału
Przeznaczenie materiału
dla nauczyciela, dla rodzica, dla ucznia (praca samodzielne)
Średni czas aktywności
Średni czas aktywności
do 45 min

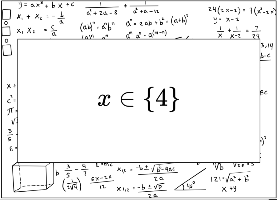
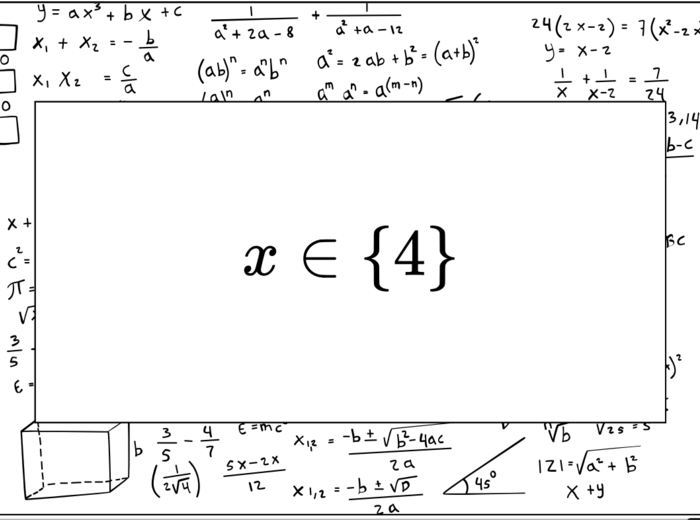
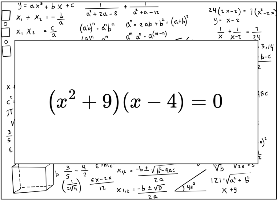
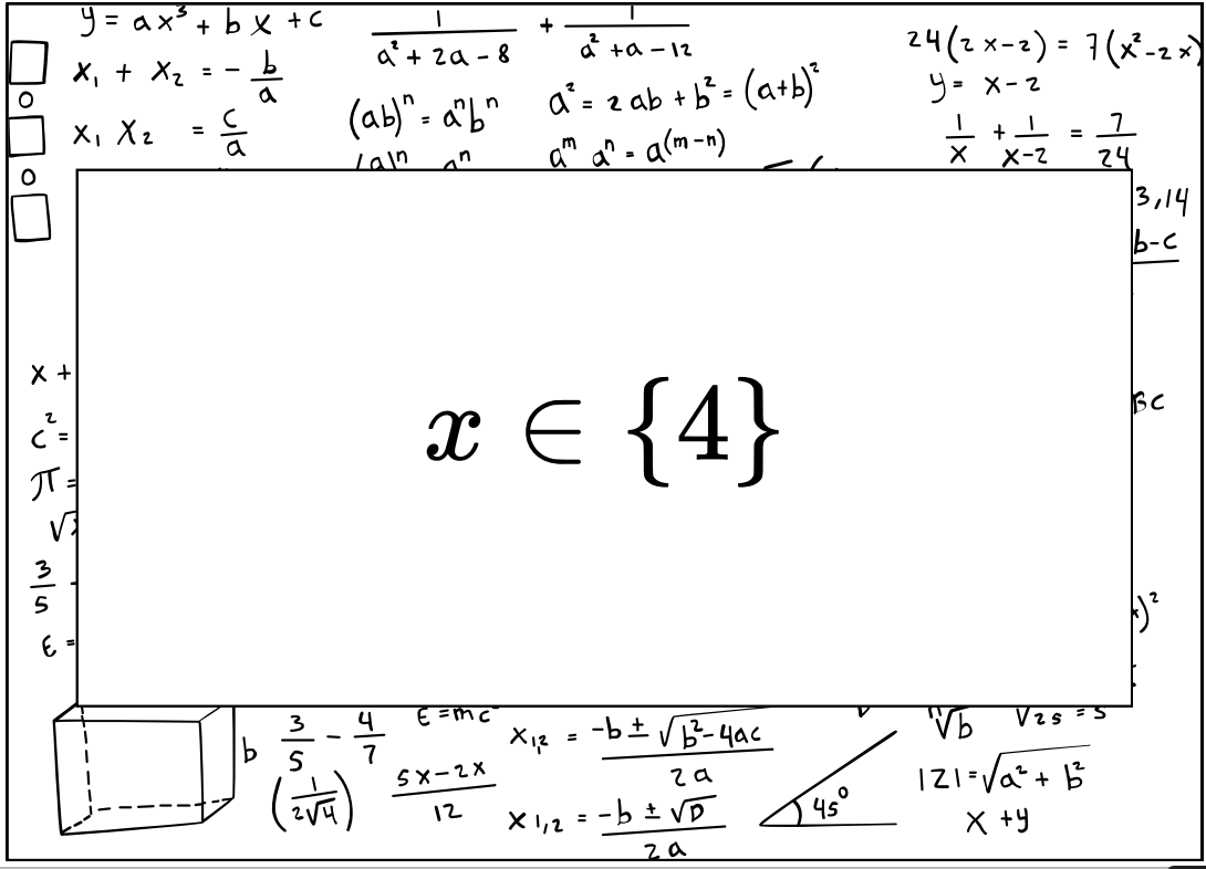
Gra MEMORY z równań wielomianowych - ćwiczenia w wyznaczaniu rozwiązań z postaci iloczynowej.

Podziel klasę np. na dwie grupy, wydrukuj jeden zestaw dla każdej grupy - zadaniem ucznia jest dopasowanie rozwiązania do równania wielomianowego.

Praca z kartami pozwala na szybką powtórkę, rozwija umiejętność współpracy i aktywizuje uczniów :)

Jak prawidłowo przygotować karty?

1) Wydrukuj dwustronnie.

2) Upewnij się, że marginesy zostały prawidłowo ustawione (każda karta powinna mieć dwie strony - lewną i prawą).

3) Zalaminuj.

4) Wytnij każdą kartę osobno - otrzymasz dwustronne kartoniki, gotowe do zastosowania :)

Info

Brak recenzji

Dodaj swoją recenzję
Nauczycielka matematyki i wychowawczyni w jednym z liceów ogólnokształcących na Podkarpaciu, egzaminatorka CKE.Pomysłodawczyni wielu innowacji, autorka artykułów w czasopismach „Kwartalnik Edukacyjnych” (PCEN) oraz „Sygnał” (Oficyna MM). Absolwentka studiów podyplomowych na kierunkach: „neurodydaktyka”,„tutoring i coaching w edukacji” oraz "psychologia pozytywna w edukacji i wychowaniu - wspomaganie rozwoju dzieci i młodzieży", a także kursu dla nauczycieli „Szkoła współpracy” organizowanego przez NVClab i licznych szkoleń dotyczących sketchnotingu. Certyfikowana nauczycielka daltońska, ukończyła kurs tutorski I stopnia. Pasjonatka psychologii pozytywnej i edukacji skoncentrowanej na rozwiązaniach, propagatorka myślenia wizualnego. Wierzy w rozwój intelektu, jest zafascynowana procesem przyswajania wiedzy. W codziennej pracy ceni dobrą organizację oraz nastawienie na rozwój. Uważa, że zaangażowany i pełen pasji nauczyciel to taki, który kocha to co robi i bezustannie szuka skuteczniejszych sposobów dotarcia do uczniów, a także uczy się tak dużo, jak to tylko możliwe. W wolnej chwili lubi biegać, czytać kryminały i gotować. Prywatnie żona i mama dwóch dziewczynek, które, podobnie jak uczniowie, są dla niej niewyczerpanym źródłem inspiracji. facebook.com/CoMysleToRysuje

Poznaj inne produkty od ola.kozlowska co myślę to rysuję

Zobacz więcej
Dodaj autonomię odejmij napięcie. Wskazówki pomocne w uczeniu (się) młodzieży na przykładzie lekcji matematyki i nie tylko
29,00 zł
Dodaj autonomię odejmij napięcie. Wskazówki pomocn…
Zobacz więcej
MEMORY MATEMATYCZNE pakiet 5 kompletów
19,00 zł
MEMORY MATEMATYCZNE pakiet 5 kompletów
Zobacz więcej
Memory wzory skróconego mnożenia
14,99 zł
Memory wzory skróconego mnożenia
Zobacz więcej
Memory funkcje trygonometryczne - trójkąt prostokątny
14,99 zł
Memory funkcje trygonometryczne - trójkąt prostoką…
Zobacz więcej
Fundamenty matematyczne - karty pracy dla szkoły ponadpodstawowej
29,00 zł
Fundamenty matematyczne - karty pracy dla szkoły p…
Zobacz więcej
Ankieta na pierwszą lekcję matematyki do szkoły ponadpodstawowej
5,00 zł
Ankieta na pierwszą lekcję matematyki do szkoły po…
Zobacz więcej
Układ równań - metoda podstawiania
4,99 zł
Układ równań - metoda podstawiania