Drodzy Autorzy i Klienci,
Właśnie wystartowaliśmy z nową odsłoną platformy ZlotyNauczyciel.pl, co było dla nas dużym wyzwaniem. Jeśli zauważycie, że jakaś funkcjonalność działa nieprawidłowo, śmiało zgłaszajcie to na adres admin@zlotynauczyciel.pl. Postaramy się odpowiedzieć na każde zgłoszenie i rozwiązać każdy problem najszybciej, jak to możliwe.
Dla szkół Wishlist icon Ulubione
cart Koszyk
0
Tags Tagi

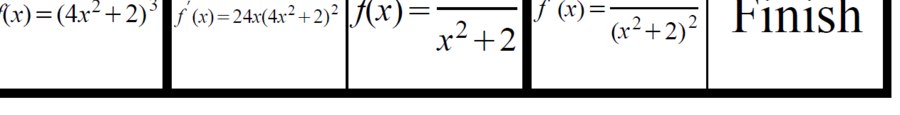
Domino - pochodna funkcji

0,00 zł
Klasa / Wiek
Klasa / Wiek
Klasa 3, Klasa 4, Szkoła ponadpodstawowa
Format materiałów
Format materiałów
.pdf
Domino z 7 przykładami dot. pochodnej funkcji - do ćwiczeń i powtórek, w grupach lub indywidualnie. Zestaw zawiera trzy pliki .pdf:
  • gotowe domino do wydruku
  • tabela z rozwiązaniem
  • domino po rozwiązaniu
Polecam :) #domino #pochodna
Data dodania: 03.02.2023
Anna
Radość uczniów bezcenna.
Zobacz więcej
Dodaj swoją recenzję
Nauczycielka matematyki i wychowawczyni w jednym z liceów ogólnokształcących na Podkarpaciu, egzaminatorka CKE.Pomysłodawczyni wielu innowacji, autorka artykułów w czasopismach „Kwartalnik Edukacyjnych” (PCEN) oraz „Sygnał” (Oficyna MM). Absolwentka studiów podyplomowych na kierunkach: „neurodydaktyka”,„tutoring i coaching w edukacji” oraz "psychologia pozytywna w edukacji i wychowaniu - wspomaganie rozwoju dzieci i młodzieży", a także kursu dla nauczycieli „Szkoła współpracy” organizowanego przez NVClab i licznych szkoleń dotyczących sketchnotingu. Certyfikowana nauczycielka daltońska, ukończyła kurs tutorski I stopnia. Pasjonatka psychologii pozytywnej i edukacji skoncentrowanej na rozwiązaniach, propagatorka myślenia wizualnego. Wierzy w rozwój intelektu, jest zafascynowana procesem przyswajania wiedzy. W codziennej pracy ceni dobrą organizację oraz nastawienie na rozwój. Uważa, że zaangażowany i pełen pasji nauczyciel to taki, który kocha to co robi i bezustannie szuka skuteczniejszych sposobów dotarcia do uczniów, a także uczy się tak dużo, jak to tylko możliwe. W wolnej chwili lubi biegać, czytać kryminały i gotować. Prywatnie żona i mama dwóch dziewczynek, które, podobnie jak uczniowie, są dla niej niewyczerpanym źródłem inspiracji. facebook.com/CoMysleToRysuje

Poznaj inne produkty od ola.kozlowska co myślę to rysuję

Zobacz więcej
Dodaj autonomię odejmij napięcie. Wskazówki pomocne w uczeniu (się) młodzieży na przykładzie lekcji matematyki i nie tylko
29,00 zł
Dodaj autonomię odejmij napięcie. Wskazówki pomocn…
Zobacz więcej
MEMORY MATEMATYCZNE pakiet 5 kompletów
19,00 zł
MEMORY MATEMATYCZNE pakiet 5 kompletów
Zobacz więcej
Memory wzory skróconego mnożenia
14,99 zł
Memory wzory skróconego mnożenia
Zobacz więcej
Memory funkcje trygonometryczne - trójkąt prostokątny
14,99 zł
Memory funkcje trygonometryczne - trójkąt prostoką…
Zobacz więcej
Fundamenty matematyczne - karty pracy dla szkoły ponadpodstawowej
29,00 zł
Fundamenty matematyczne - karty pracy dla szkoły p…
Zobacz więcej
Ankieta na pierwszą lekcję matematyki do szkoły ponadpodstawowej
5,00 zł
Ankieta na pierwszą lekcję matematyki do szkoły po…
Zobacz więcej
Układ równań - metoda podstawiania
4,99 zł
Układ równań - metoda podstawiania